Предмет: Алгебра,
автор: lybrain78
x^2+8x-20=0 срочно, помогите пожалуйста!!!!
Ответы
Автор ответа:
1
.............................
Приложения:
Автор ответа:
1
Ответ:
х₁ = 2, х₂ = -10
Объяснение:
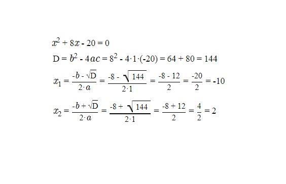
x² + 8x - 20 = 0
х = ((-8) ± )/(2*1)
х = ((-8) ± )/2
х = (-8 ± )/2
х = (-8 ± 12)/2
Тогда х₁ = (-8 + 12)/2 и х₂ = (-8 - 12)/2, соответственно х₁ = 4/2 и х₂ = -20/2, значит, х₁ = 2, и х₂ = -10.
Похожие вопросы
Предмет: Русский язык,
автор: Аноним
Предмет: Английский язык,
автор: Diana77457
Предмет: Русский язык,
автор: fedrr
Предмет: Русский язык,
автор: bmx82