Предмет: Алгебра,
автор: izarislava
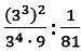
Используя свойства степени, найдите значение выражения:
Приложения:
Ответы
Автор ответа:
1
Ответ:
81
Объяснение:
(3³)²/(3⁴*9)=3⁶/(3⁴*3²)3⁶/3⁶=1
2)1:(1/81)=81
Похожие вопросы
Предмет: Английский язык,
автор: Милана1570455
Предмет: Французский язык,
автор: Marshmal1ow
Предмет: Русский язык,
автор: gulyabelousova
Предмет: География,
автор: Millihan
Предмет: Информатика,
автор: wildveter