Предмет: Алгебра,
автор: linka818
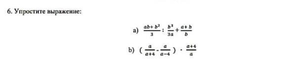
ПОМОГИТЕ ПЖ пжпжпжпжжпжппж
Приложения:
Ответы
Автор ответа:
0
Ответ:
ответ на фото
Объяснение:
Приложения:
Автор ответа:
0
--------------------
Приложения:
Похожие вопросы
Предмет: Английский язык,
автор: SashaKvitka
Предмет: Русский язык,
автор: masy2005
Предмет: Русский язык,
автор: DEADHOME
Предмет: Литература,
автор: Аноним
Предмет: История,
автор: aesthetics18