Предмет: Алгебра,
автор: cazanca
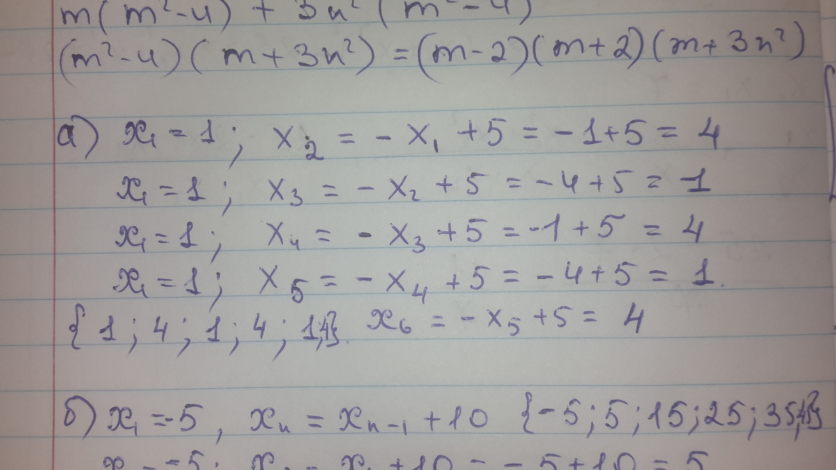
покажите пожалуйста полное решение #20
Приложения:
Ответы
Автор ответа:
0
""""""""""""""""""""""""""""""""""""""""""""""
Приложения:
cazanca:
Спасибо)
Незачто
Похожие вопросы
Предмет: Английский язык,
автор: MaxMin9251
Предмет: Қазақ тiлi,
автор: EdvardSmash
Предмет: Русский язык,
автор: такбиршина
Предмет: Русский язык,
автор: rita1180