Предмет: Алгебра,
автор: Аноним
Помогите пожалуйста срочно надо!
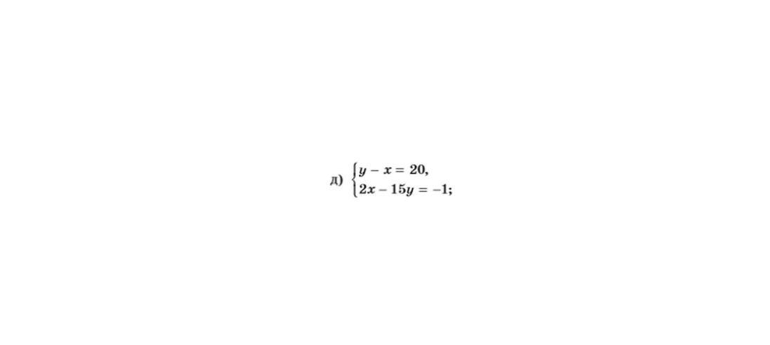
Решить систему уравнений:
д) сложением.
Приложения:
Ответы
Автор ответа:
1
Смотри . . .. .. .. . . . ... ... . .
Приложения:
Похожие вопросы
Предмет: Беларуская мова,
автор: malyshhiczkaya
Предмет: Русский язык,
автор: IskanbarsIskanchik
Предмет: Русский язык,
автор: gez2005
Предмет: Математика,
автор: olala49
Предмет: Окружающий мир,
автор: savenkoo