Предмет: Алгебра, автор: olexandrvalenkevych

Допоможіть умаляю прошу дам сто балів тільки допоможіть

Приложения:

Ответы

Автор ответа: karuxaa
2

Ответ:

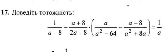
Ответ в фото выше............

Приложения:

olexandrvalenkevych: Спасибо огромное!!!!
Похожие вопросы
Предмет: Русский язык, автор: Аноним
ПА по русскому языку
1. В каком ряду нет слов с чередующейся гласной в корне?
1) прибл…жение, прик…сновение, насл…ждение; 2) сл…жение, вод…росли, изб…рать; 3) сож…леть, изв…нить, под…рить; 4) отр…сль, прик…саться, з…ря.
2. Укажи ошибку, связанную с нарушением лексической сочетаемости слов:
1) коричневый карандаш; 2) ледяной айсберг; 3) пахать землю; 4) карие глаза.
3. Найди слово, в котором допущена ошибка:
1) стариный; 2) ветреный; 3) былинный; 4) временный.
4. Укажи ряд с именами прилагательными, в суффиксе которых на месте пропусков пишется одна буква Н.
1) кожа..ый портфель, чугу..ая решетка; 2) деревя..ый дом, румя..ый малыш; 3) полотня..ая скатерть, комари..ый писк; 4) стари..ая картина, тума..ая ночь.
5. В каком ряду НЕ со всеми словами пишется слитно?
1) (не) высокий забор, (не) громко свистнул; 2) (не) участвовал, (не) долюбливал; 3) (не) мог прийти, (не) решивший задачу; 4) (не) вежливость, а грубость; (не) большой недостаток
6. В каком ряду все слова пишутся с Ь?
1) дуб могуч, сильная дрож 2) роскош, из-за туч 3) испеч хлеб, подрежте рукава 4) возле дач, стереч.
7. Найдите существительное с суффиксом -щик.
1) перебеж…ик. 2) груз…ик. 3) рез…ик. 4) рассказ…ик. 5) фасов…ик.
8. Найдите разносклоняемое существительное.
1) Санаторий. 2) Галерея. 3) Пламя. 4) Аллея. 5) История.
9. Найдите существительное с суффиксом –ек-.
1) Шалаш…к. 2) Фонар…к. 3) Комоч…к. 4) Ключ…к. 5) Хвост…к.
10. Рассказ – это… Его признаки.
Литература Читаем, пересказываем рассказ Чехова "Толстый и тонкий". Учим наизусть стихотворение по выбору Баратынского, Полонского, Толстого.
Предмет: Русский язык, автор: Rais018Nuraxmedov
Предмет: Математика, автор: Ashgabat2019