Предмет: Алгебра, автор: Nikolandgawrik

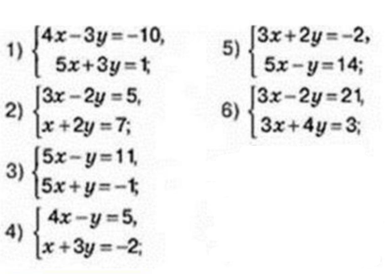
АЛГЕБРА СЕДЬМОЙ КЛАСС СРОЧНО НАДО ОТВЕТ! ОТДАМ ВСЕ СВОИ БАЛЛЫ ЗА ПОЛНОЕ РЕШЕНИЕ НА БУМАГЕ! ЗАДАНИЕ НА ФОТО

Приложения:

Ответы

Автор ответа: Ляляляля109
1

В первых 3 пунктах сложим уравнения, чтобы сократить У и найти значение Х, после подставим значение Х в любое из уравнений (буду подставлять в первое) и найдем значение У.

1)

\left \{ {{4x-3y=-10} \atop {5x+3y=1}} \right. \\\\\\4x-3y+5x+3y=-10+1\\\\9x=-9\\\\x=-1\\\\4*(-1)-3y=-10\\\\-4-3y=-10\\\\-3y=-6\\\\y=2\\\\\left \{ {{x=-1} \atop {y=2}} \right.

2)

\left \{ {{3x-2y=5} \atop {x+2y=7}} \right. \\\\\\3x-2y+x+2y=5+7\\\\4x=12\\\\x=3\\\\3*3-2y=5\\\\9-2y=5\\\\-2y=-4\\\\y=2\\\\\left \{ {{x=3} \atop {y=2}} \right.

3)

\left \{ {{5x-y=11} \atop {5x+y=-1}} \right. \\\\\\5x-y+5x+y=11+(-1)\\\\10x=10\\\\x=1\\\\5*1-y=11\\\\5-y=11\\\\y=-6\\\\\left \{ {{x=1} \atop {y=-6}} \right.

4) Домножим первое уравнение на 3, а потом сложим два уравнения

\left \{ {{4x-y=5} \atop {x+3y=-2}} \right. \\\\\left \{ {{12x-3y=15} \atop {x+3y=-2}} \right. \\\\\\12x-3y+x+3y=15-2\\\\13x=13\\\\x=1\\\\4*1-y=5\\\\4-y=5\\\\y=-1\\\\\left \{ {{x=1} \atop {y=-1}} \right.

5) Домножим второе уравнение на 2 и сложим оба уравнения

\left \{ {{3x+2y=-2} \atop {5x-y=14}} \right. \\\\\left \{ {{3x+2y=-2} \atop {10x-2y=28}} \right. \\\\\\3x+2y+10x-2y=-2+28\\\\13x=26\\\\x=2\\\\3*2+2y=-2\\\\6+2y=-2\\\\2y=-8\\\\y=-4\\\\\left \{ {{x=2} \atop {y=-4}} \right.

6) Домножим второе уравнение на -1 и сложим оба уравнения

\left \{ {{3x-2y=21} \atop {3x+4y=3}} \right. \\\\\left \{ {{3x-2y=21} \atop {-3x-4y=-3}} \right. \\\\\\3x-2y-3x-4y=21-3\\\\-6y=18\\\\y=-3\\\\3x-2*(-3)=21\\\\3x+6=21\\\\3x=15\\\\x=5\\\\\left \{ {{x=5} \atop {y=-3}} \right.

Похожие вопросы