Предмет: Алгебра,
автор: adelinasablieva
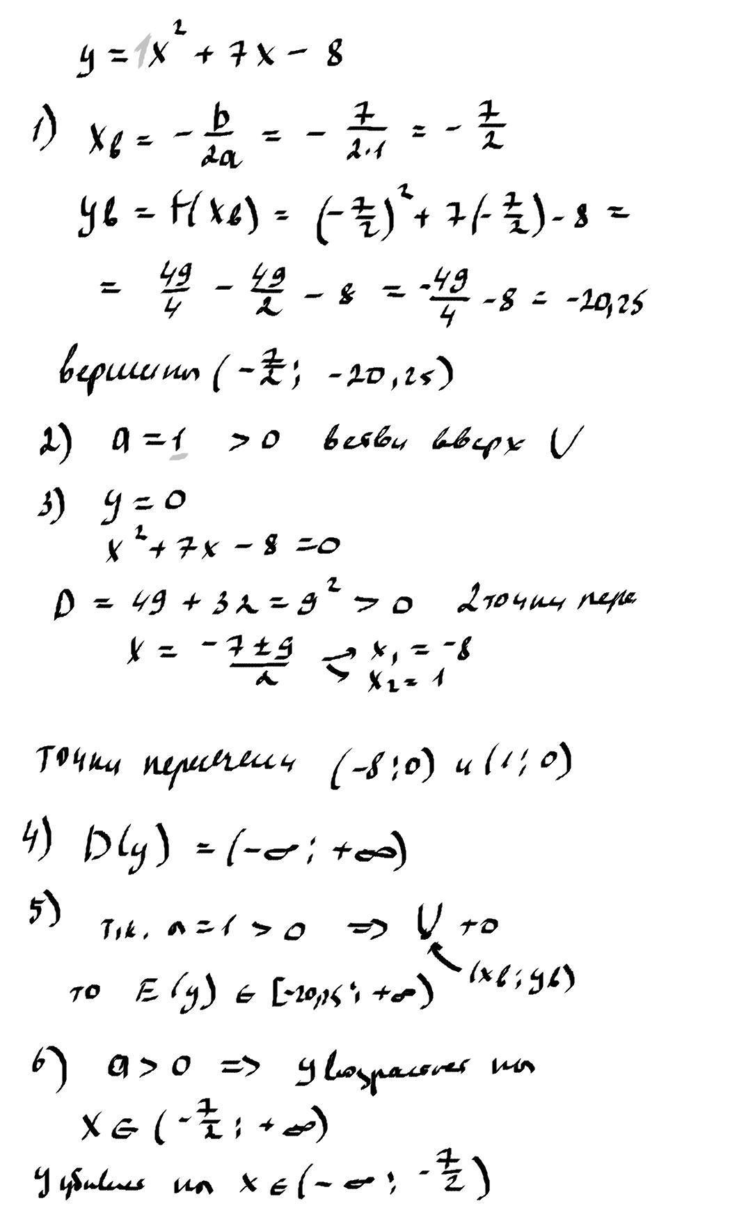
y=x²+7x-8
помогите с решением (по фото)!!!!!!!!!
и можете пожалуйста написать само решение!!!!!
Приложения:
Ответы
Автор ответа:
1
см приложение.................
Приложения:
adelinasablieva:
спасибо вам большое❤❤❤
Похожие вопросы
Предмет: Українська мова,
автор: sonyc2305black
Предмет: Немецкий язык,
автор: dominooo1K
Предмет: Английский язык,
автор: Njuwik
Предмет: Математика,
автор: tyuf192003
Предмет: История,
автор: ghoster52