Предмет: Математика,
автор: oxsi10
выполни действия:
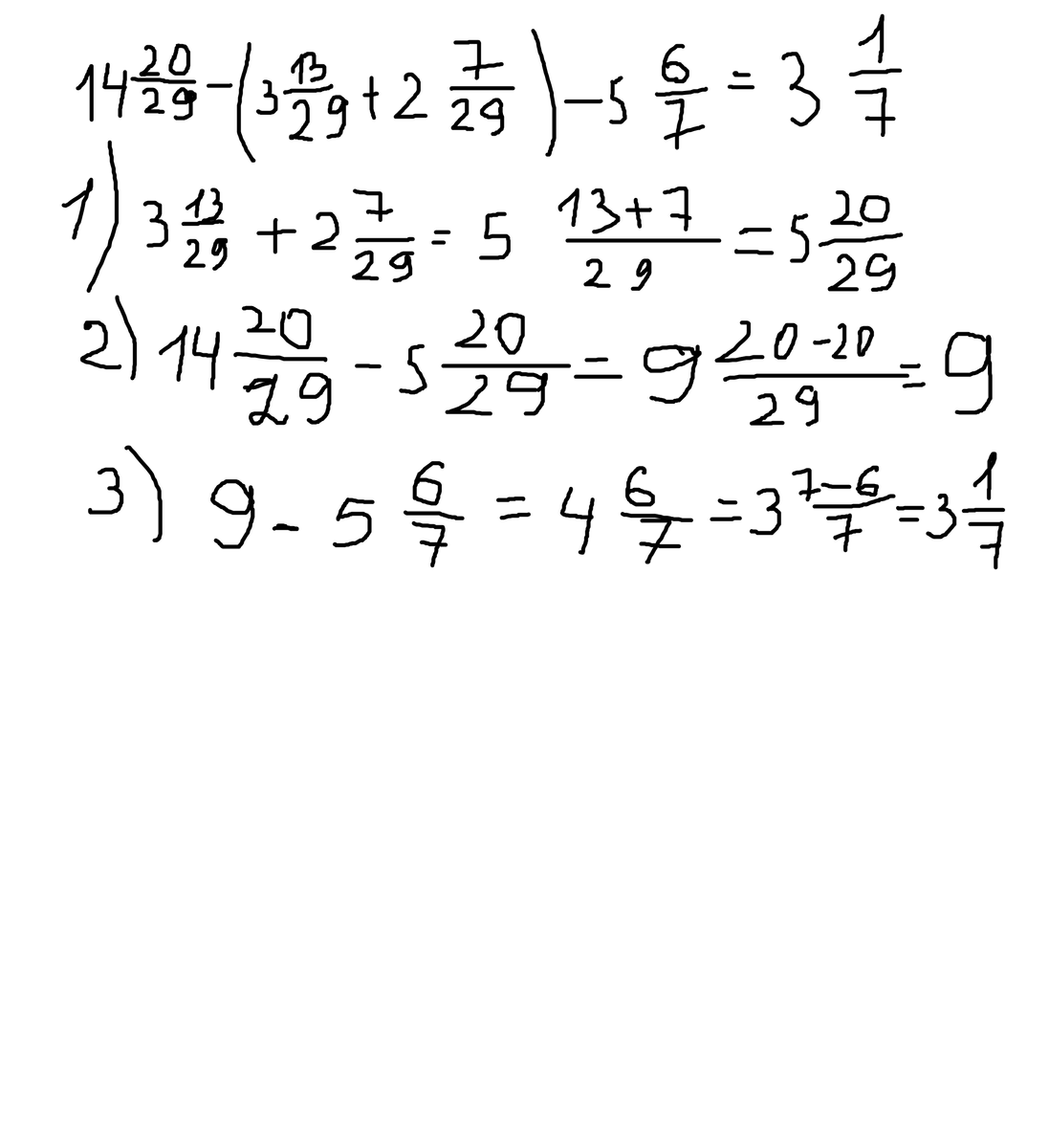
14целая 20/29-(3целая 13/29+2целая 7/29)-5целая 6/7=
(5целая 1/14-1целая 9/14)-(2целая 11/14+5/14)=
(4целая 13/16+8целая 7/16)-5целая7/16=
15целая19/32-(14целая 19/32+25/32)=
помогите пожалуйста решить действия подробно
Ответы
Автор ответа:
0
14целая 20/29-(3целая 13/29+2целая 7/29)-5целая 6/7=3целая 1/7
(5целая 1/14-1целая 9/14)-(2целая 11/14+5/14)=2/7
(4целая 13/16+8целая 7/16)-5целая7/16=7целая 13/16
15целая19/32-(14целая 19/32+25/32)=7/32
(5целая 1/14-1целая 9/14)-(2целая 11/14+5/14)=2/7
(4целая 13/16+8целая 7/16)-5целая7/16=7целая 13/16
15целая19/32-(14целая 19/32+25/32)=7/32
Приложения:
Похожие вопросы
Предмет: Физика,
автор: segofeed022
Предмет: Математика,
автор: 170310020
Предмет: Математика,
автор: aleksejignatenko694
Предмет: Математика,
автор: ianka12
Предмет: Математика,
автор: gayane7gayane