Предмет: Алгебра,
автор: djdkdjkdkrdoco
помогитте срочнооооооооо
Приложения:
Ответы
Автор ответа:
0
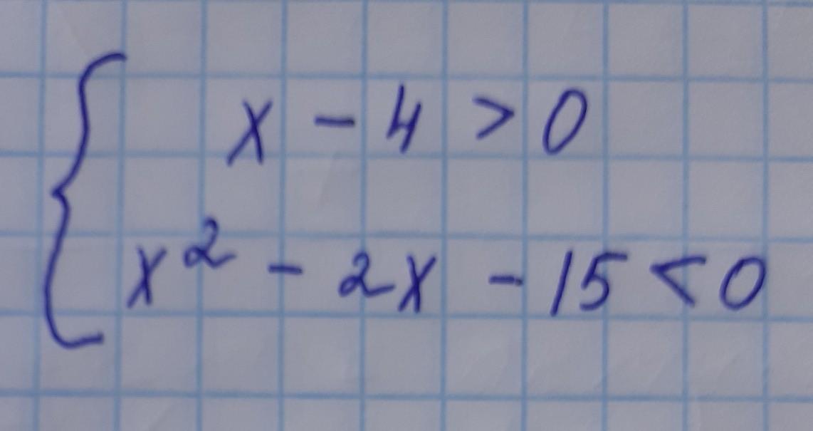
Ответ:
xe(4;5)
Объяснение:
Приложения:
Похожие вопросы
Предмет: Окружающий мир,
автор: lena08m
Предмет: Английский язык,
автор: vladforgt
Предмет: Английский язык,
автор: Аноним
Предмет: Українська мова,
автор: marysia235melnyk
Предмет: Математика,
автор: sedasafaryan