Предмет: Алгебра,
автор: tupoibebrik
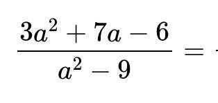
сократите дробь пожалуйста срочно и чтобы было понятно написано
Приложения:
Ответы
Автор ответа:
1
Ответ:
на фото
Объяснение:
Найти корни квадратного уравнение и разложить его на множители.
Приложения:
Похожие вопросы
Предмет: Окружающий мир,
автор: YouTube666
Предмет: Английский язык,
автор: ersultan98121
Предмет: Технология,
автор: Danil20171
Предмет: Алгебра,
автор: dakornev5
Предмет: Қазақ тiлi,
автор: Lolchej