Предмет: Алгебра,
автор: nastyach1808
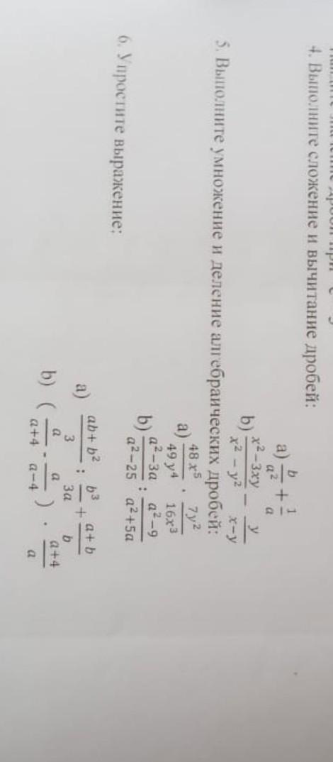
помогите мне пожалуйста...
Приложения:
Ответы
Автор ответа:
2
Ответ:
Объяснение:
СМотри
Приложения:
nastyach1808:
спасибо, ваш ответ мне очень помог
Похожие вопросы
Предмет: Русский язык,
автор: Sana5072016
Предмет: Английский язык,
автор: GalinaR11
Предмет: Қазақ тiлi,
автор: Аноним
Предмет: Математика,
автор: mashnina87