Предмет: Математика,
автор: fohstant
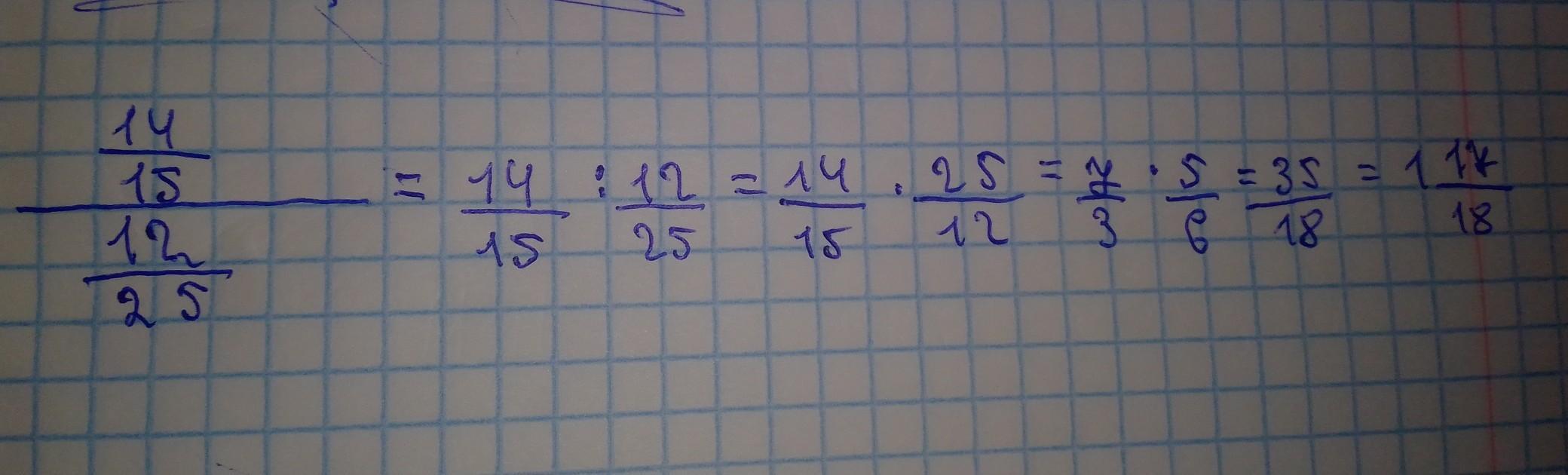
как решать многоэтажные дроби пример надо плиз
Ответы
Автор ответа:
0
Ответ:
якщо це не те уточни будь ласка , є багато єтажних прикладів .
Приложения:
Похожие вопросы
Предмет: Другие предметы,
автор: frauolgastelm
Предмет: Английский язык,
автор: Маша108111
Предмет: Английский язык,
автор: блабла155
Предмет: Алгебра,
автор: raduznyjedinorog097
Предмет: История,
автор: Maxmaslenko