Предмет: Алгебра,
автор: calendulas
Пожалуйста, помогите с тригонометрическим уравнением, очень нужно…
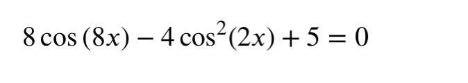
Задание на фотографии
Приложения:
Ответы
Автор ответа:
2
Ответ:
решение смотри на фотографии
Приложения:
Похожие вопросы
Предмет: Окружающий мир,
автор: azaliya204
Предмет: Русский язык,
автор: Аноним
Предмет: Українська мова,
автор: Данизль
Предмет: Математика,
автор: bahytbekovnaa
Предмет: Математика,
автор: polinka14253