Предмет: Математика, автор: murkira009

Найдите значение а и b

Приложения:

Ответы

Автор ответа: Svita14
1

Ответ:

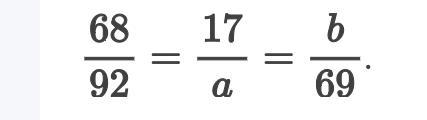
\frac{68}{92} =\frac{17}{a} =\frac{b}{69}

Найдем поэтапно значения.

Сначала найдем значение а.

\frac{68}{92} =\frac{17}{a}

a=\frac{92*17}{68}

\frac{92*17}{68}=\frac{1564}{68}=23

a=23

Теперь найдем значение b таким же способом.

\frac{17}{23} =\frac{b}{69}

b=\frac{17*69}{23}

\frac{17*69}{23} =\frac{1173}{23}=51

b=51

Ответ: а=23, b=51

Автор ответа: Аноним
1

Ответ:

а=23 b=51       надеюсь, правильно)                    

Похожие вопросы
Предмет: Обществознание, автор: karizinatullina