Предмет: Физика,
автор: viktoriaplyashko0106
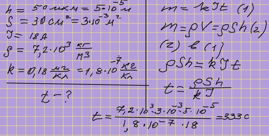
потрібно вкритий шаром хрому завтовшки 50 мкм.скільки триває покриття якщо сила струму дорівнює 18А,а площа поверхні 30 см2
Ответы
Автор ответа:
2
Відповідь: 5 хв 33 с
Пояснення:
Приложения:
Похожие вопросы
Предмет: Русский язык,
автор: nata419
Предмет: Русский язык,
автор: 22222239
Предмет: Русский язык,
автор: КираСвриридюкДура
Предмет: Химия,
автор: рустам159357