Предмет: Алгебра,
автор: dementiaandcourage
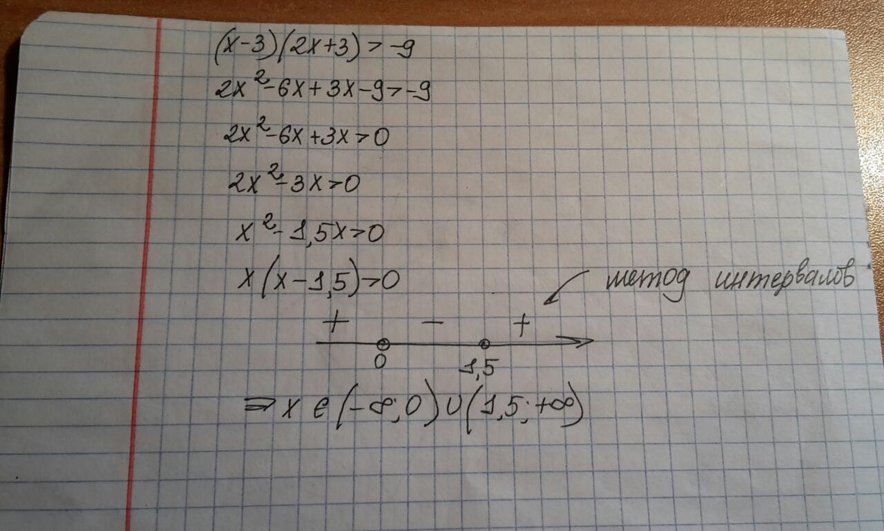
(x − 3)(2x + 3) > −9
Решите неравенство до конца суток
Ответы
Автор ответа:
1
Ответ:
х є (-∞;0) U (1,5; +∞)
Объяснение:
2х²-6х+3х-9>-9
2х²-3х>0
х(2х-3)>0
+. -. +
/////. /////////
----о----о------→
0. 3/2. х
х є (-∞;0) U (1,5; +∞)
Автор ответа:
1
Ответ:
x ∈ (-∞;0)∪(1,5+∞)
Объяснение:
Круглые скобки так как неравенство строгое.
Метод интервалов это когда неравенство приводят к разложению на множители, потом на ось наносят точки, при которых просиходит обнуление этого множителя => и неравенства => при каждом переходе через такую точку знак неравенства меняется, потом надо просто определить для 1 из зон знак неравенства и расставить знаки с чередованием.
Если бы неравенство было нестрогое, то тотчки были бы закрашены(не выколоты) и в ответе тогда идут квадратные скобки, а не круглые
Приложения:
Похожие вопросы
Предмет: Английский язык,
автор: Jessica55
Предмет: Русский язык,
автор: Kami26s
Предмет: Русский язык,
автор: asem71
Предмет: Математика,
автор: 555555247
Предмет: Русский язык,
автор: erasilk