Предмет: Математика, автор: 0207eld

Не виконуючи побудови, знайти координати точки перетину графіків рівнянь: 2x – Зу = 1 іх+ Зу = 5​

Ответы

Автор ответа: MatemaT123
1

Ответ:

(2; 1)

Пошаговое объяснение:

2x-3y=1, \ x+3y=5 \Rightarrow 2x+x-3y+3y=1+5;

3x=6; \quad x=6:3=2;

2 \cdot 2-3y=1; \quad 4-3y=1; \quad 3y=4-1=3; \quad y=3:3=1;

Точка пересечения: (2 ; 1).

Автор ответа: evgeniapavlij497
0

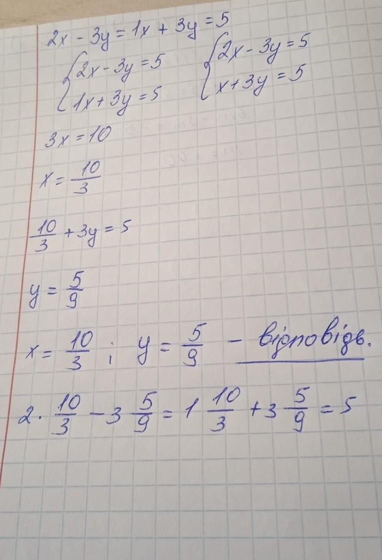
Ответ:

Це повинно бути правильна відповідь

Приложения:
Похожие вопросы
Предмет: Английский язык, автор: malenkidemon
Предмет: Математика, автор: 100946