Предмет: Математика,
автор: ani203266
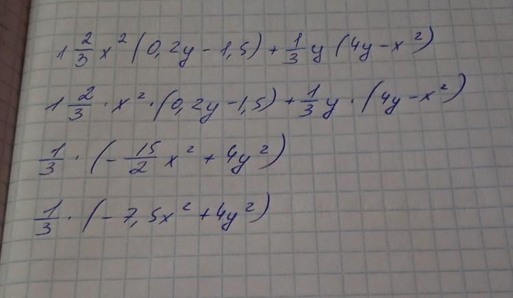
HELP...................
Приложения:
Ответы
Автор ответа:
0
Ответ:
Це сто відсотків має бути правильно
Приложения:
Похожие вопросы
Предмет: Русский язык,
автор: sitnikova1970
Предмет: Другие предметы,
автор: Lucifer1358
Предмет: Русский язык,
автор: Биолог161
Предмет: Русский язык,
автор: nastya3065