Предмет: Физика,
автор: vbalelov
СРОЧНО ПОЖАЛУЙСТА!!!!
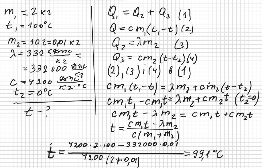
У посудину, де міститься 2кг води при температурі 100ºС, вкинули шматок льоду масою 10г при температурі 0°С. Визначити температуру в посудині після встановлення теплової ноги в ній. Теплоємністю посудин
i теплообміном між нею та навколишнім середовищем знехтувати.
Ответы
Автор ответа:
1
Відповідь: 99,1 ⁰С
Пояснення:
Приложения:
alexandrra2006:
допоможіть з фізикою благаю
Похожие вопросы
Предмет: Русский язык,
автор: timur20055
Предмет: Другие предметы,
автор: Fhdhdhc
Предмет: Русский язык,
автор: эмма113
Предмет: Английский язык,
автор: girlbest14