Предмет: Математика,
автор: SmartArisha
Помогите, пожалуся, это слосьно....
Приложения:
Ответы
Автор ответа:
1
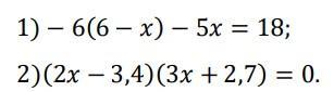
1) -6(6-х) - 5х = 18
-36 + 6х - 5х = 18
-36 + х = 18
х = 18+36
х = 54
Ответ: 54
2) (2х - 3,4)(3х + 2,7) = 0
2х - 3,4 = 0
2х = 3,4
х = 1,7
или
3х + 2,7 = 0
3х = -2,7
х = -0,9
Ответ: 1,7; -0,9
Похожие вопросы
Предмет: Английский язык,
автор: LovelyBaykGirl123
Предмет: Английский язык,
автор: Аноним
Предмет: Русский язык,
автор: Аноним
Предмет: Математика,
автор: denis7071
Предмет: Русский язык,
автор: eve64