Предмет: Математика,
автор: agent1966
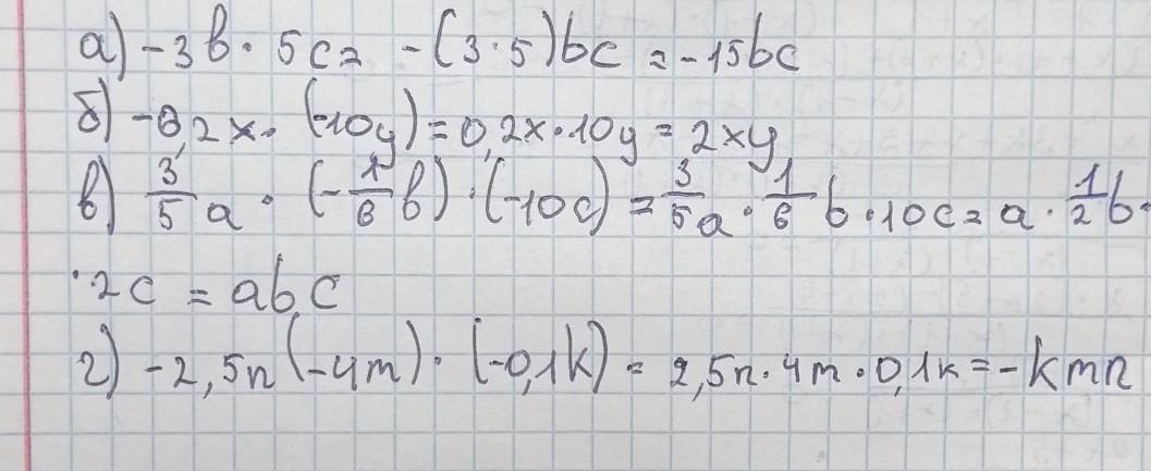
Спростити вирази на скриншоте
Приложения:
Ответы
Автор ответа:
1
Ответ……………………………ава
Приложения:
Автор ответа:
1
Ответ:
Прикрепил выше.
Пошаговое объяснение:
Прикрепил выше.
Приложения:
Похожие вопросы
Предмет: Українська мова,
автор: ДмитрийМ2004
Предмет: Русский язык,
автор: istomina822
Предмет: Русский язык,
автор: ШкольникЕКХ
Предмет: Математика,
автор: lenanika082008
Предмет: Русский язык,
автор: horoshistka74