Предмет: Математика, автор: kinaseyt

Помогите решить уравнение

Приложения:

Ответы

Автор ответа: Аноним
2

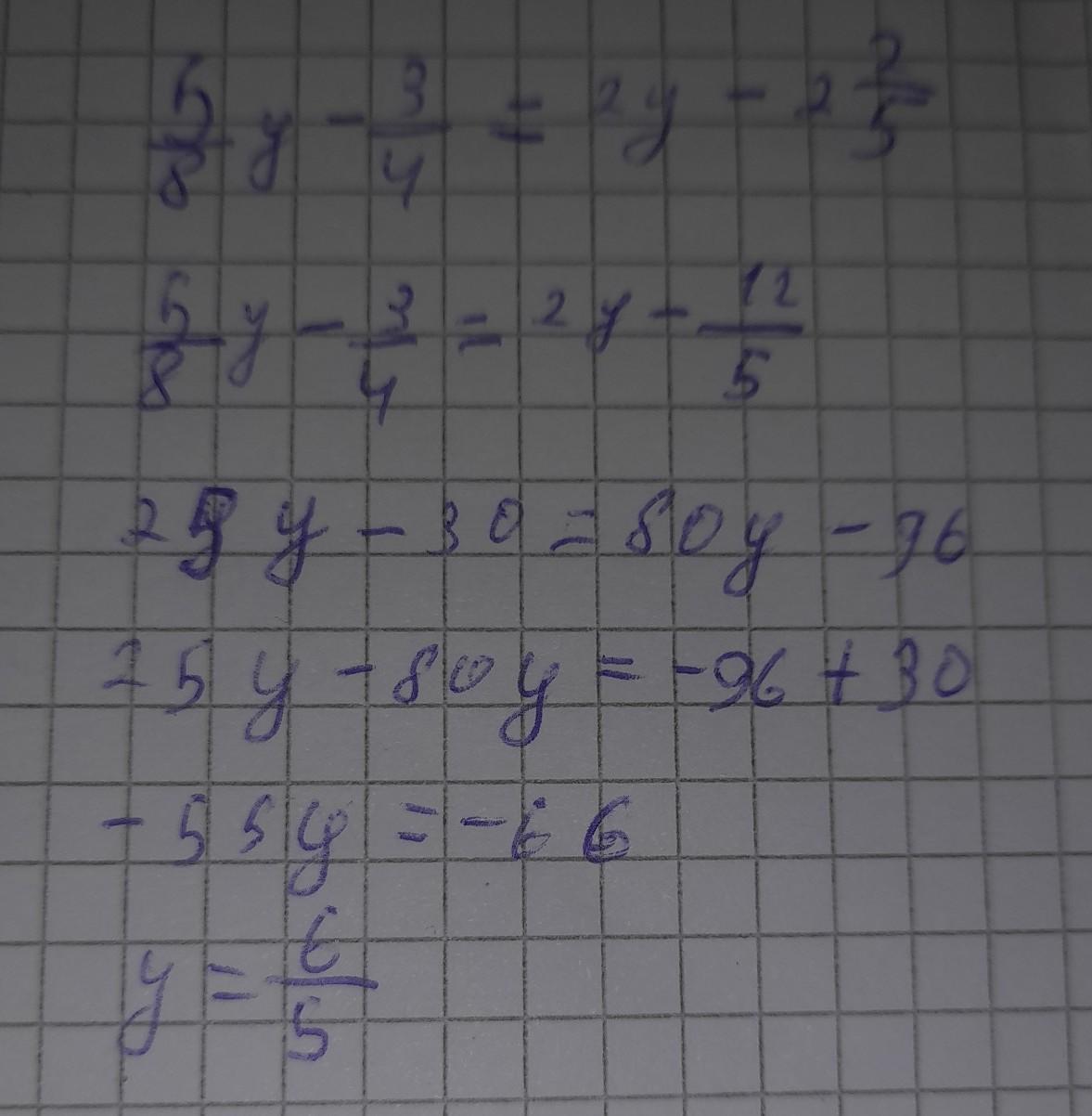
\displaystyle \frac{5}{8}y-\frac{3}{4}=2y-2\frac{2}{5}\\ \\\frac{5}{8}y-\frac{3}{4}=2y-\frac{12}{5}\\ \\25y-30=80y-96\\ 25y-80y=-96+30\\ -55y=-66\\ \\y=\frac{6}{5}=1\frac{1}{5}=1,2

Автор ответа: usasdango
1

Решение на фотографии!

Приложения:
Похожие вопросы