Предмет: Алгебра,
автор: sergijrudenko62
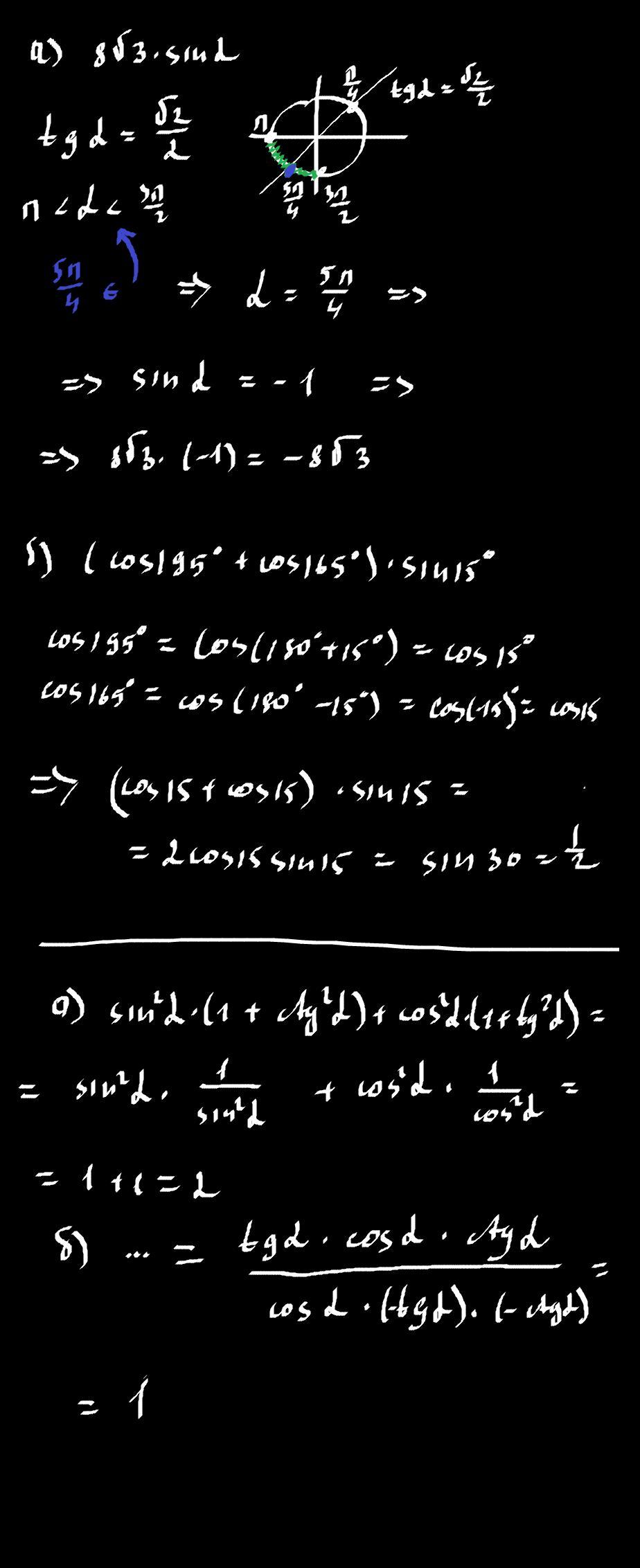
50 балов. 10 клас. Потрібна допомога з домашнімзавданням на тему:"Тригонометричні функції".
Приложения:
Ответы
Автор ответа:
0
см приложение.............
Приложения:
Гурлей:
вместо ... само изначальное выражение, я просто не переписывала
Спасибо тебе большое, для меня это просто было оч сложное задание, не понимаю данную тему + из-за проишествий мало времени чтобы уделять обучению время, извини что почему-то 25 балов дало за задание.
Похожие вопросы
Предмет: Русский язык,
автор: Аноним
Предмет: Русский язык,
автор: nikoluliy
Предмет: Русский язык,
автор: dariktuparik
Предмет: Окружающий мир,
автор: saps039
Предмет: Литература,
автор: jikkkk01