Предмет: Алгебра, автор: snifockek

Задание 3 (16 баллов).
МНЕ НУЖЕН ПОДРОБНЫЙ ОТВЕТ
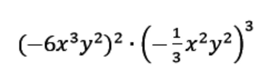
Представьте одночлен в стандартном виде. Укажите его коэффициент и степень.


Приложения:

Ответы

Автор ответа: MuhammadGulu
1

Ответ: -3/4x¹²y¹⁰

( - 6 {x}^{3}  {y}^{2} )^{2}  \times ( -  \frac{1}{3}  {x}^{2}  {y}^{2})^{3}  = 36 {x}^{6}  {y}^{4}  \times ( -  \frac{1}{27}  {x}^{6}  {y}^{6} ) =  -  \frac{3}{4}  {x}^{12}  {y}^{10}


snifockek: большое спасибо!
MuhammadGulu: пожалуйста )))
Похожие вопросы
Предмет: Русский язык, автор: tatyanamalceva1
Предмет: Алгебра, автор: valeriya7142