Предмет: Физика,
автор: nikshaaa
ПРОСТО НАПИШІТЬ ДАНО ПЛІЗ
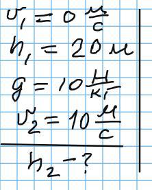
Тіло,що перебувало в стані спокою, падає з висоти 20 м . На якій висоті швидкість руху тіла дорівнюватиме 10м/с? Опором повітря знехтуй
Ответы
Автор ответа:
3
Відповідь:Див. додаток
Пояснення:
Приложения:
Похожие вопросы
Предмет: Английский язык,
автор: mpatoka
Предмет: Английский язык,
автор: WhiteNigga62
Предмет: Русский язык,
автор: Guljaz75
Предмет: Математика,
автор: ltnaliko
Предмет: Геометрия,
автор: sevcenkolera91