Предмет: Алгебра,
автор: seytumerovasadullah
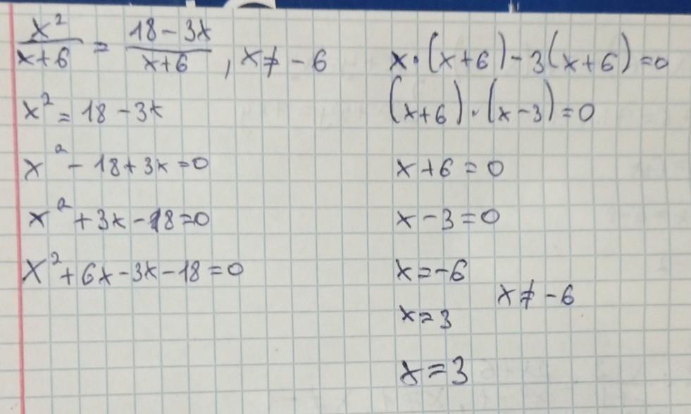
x2/x+6=18-3x/x+6 розв'яжіть рівняння
Ответы
Автор ответа:
6
Ответ:
Прикрепил выше.
Объяснение:
Прикрепил выше.
Приложения:
Похожие вопросы
Предмет: Русский язык,
автор: ture007
Предмет: Русский язык,
автор: kalekienok
Предмет: Русский язык,
автор: pandage
Предмет: Русский язык,
автор: barchi
Предмет: Русский язык,
автор: gazievamilana