Предмет: Алгебра,
автор: nonnalikhovskikh
Помогите плиз даю 100 баллов
Приложения:
Ответы
Автор ответа:
1
Ответ:
3/7
Объяснение:
.................
Автор ответа:
1
Ответ:
3/7
Объяснение:
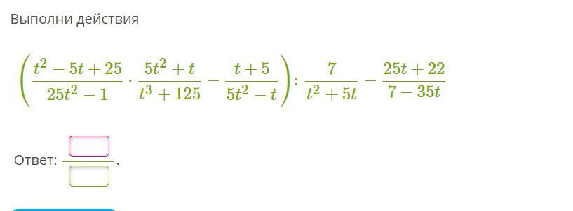
((t²-5t+25)*(5t+1)t/((5t-1)(5t+1)(t+5)(t²-5t+25))-(t+5)/t(5t-1))*t(t+5)/7-
-(25t+22)/7(1-5t)=(t/(5t-1)(t+5)-(t+5)/t(5t-1))t(t+5)/7-(25t+22)/7(1-5t)=
=((-10t-25)/(5t-1)(t+5)t)t(t+5)/7-(25t+22)/7(1-5t)=
=(-25-10t)/7(5t-1)+(25t+22)/7(5t-1)=3(5t-1)/7(5t-1)=3/7
Похожие вопросы
Предмет: Окружающий мир,
автор: Saveliy2008
Предмет: Русский язык,
автор: Аноним
Предмет: Русский язык,
автор: вступайиначинай2000
Предмет: Русский язык,
автор: Alvinafelikidi
Предмет: Биология,
автор: Nika7374