Предмет: Геометрия,
автор: fisovich
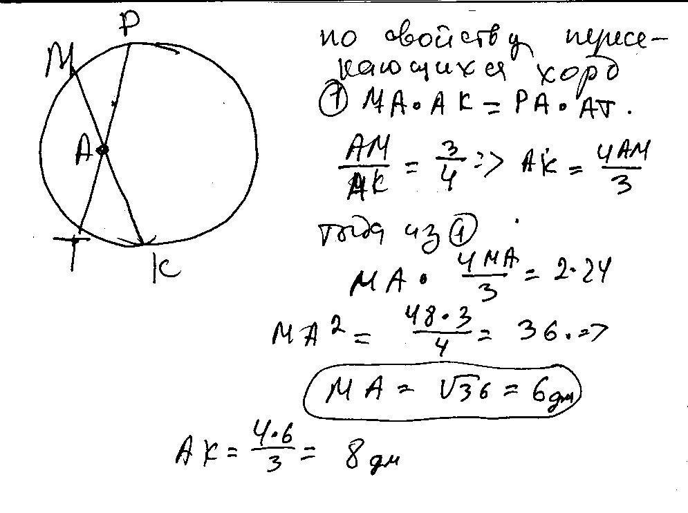
Хорды МК и РТ пересекаются в точке А. Найдите длину АМ, если АР = 2 дм, АТ = 24 дм, АМ : КА = 3 : 4.
Ответы
Автор ответа:
0
Объяснение:
Хорды МК и РТ пересекаются в точке А. Найдите длину АМ, если АР = 2 дм, АТ = 24 дм, АМ : КА = 3 : 4.
Приложения:
Похожие вопросы
Предмет: Русский язык,
автор: Yoraslav2016123
Предмет: Русский язык,
автор: 1TUMAN4IK1
Предмет: Русский язык,
автор: хорошоиладптщалме
Предмет: История,
автор: fetisovaliza00
Предмет: Математика,
автор: Даник1423