Предмет: Алгебра,
автор: lizabayba
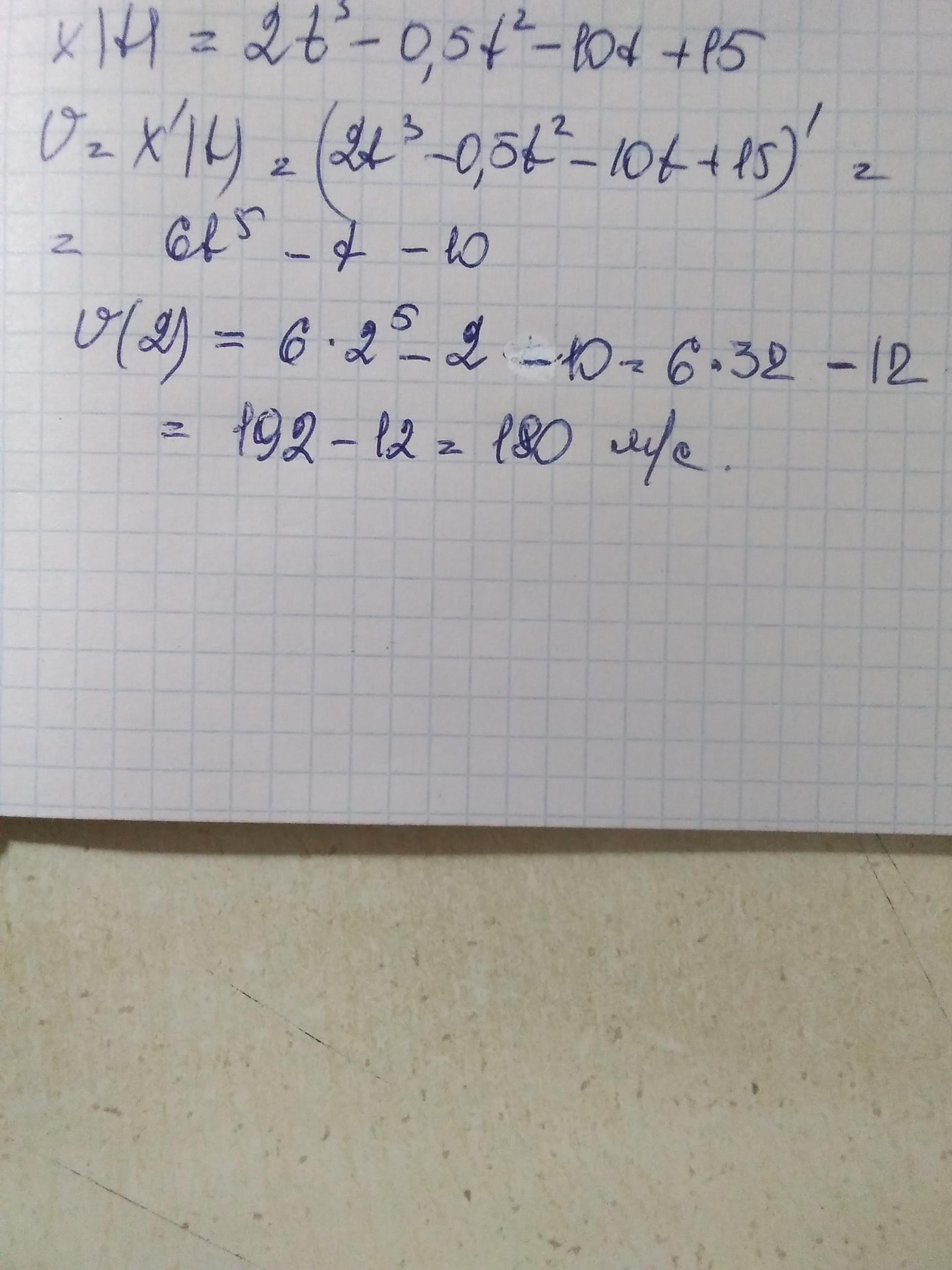
Точка движется по координатной прямой по закону икс модуль t равно 2t^3-0,5t^2-10t+15,где икс модуль t координаты точки в момент времени t ,найдите скорость точки через 2 секунды после начала движения
Ответы
Автор ответа:
0
Смотри . .. .... . . .. ... .. .
Приложения:
Похожие вопросы
Предмет: Русский язык,
автор: Porr05
Предмет: Русский язык,
автор: юся9
Предмет: Русский язык,
автор: Эмран11
Предмет: Математика,
автор: sobirst
Предмет: Химия,
автор: ilua5192