Предмет: Алгебра,
автор: bojcukviktoria69
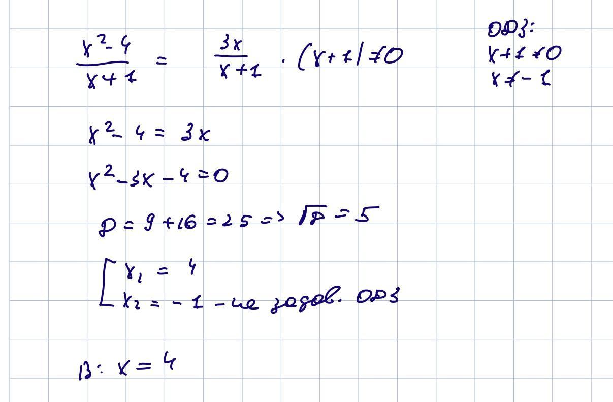
x² - 4/ x + 1 = 3x/x+1
Ответы
Автор ответа:
1
Ответ: всевсе нана фото
Объяснение:
Приложения:
Похожие вопросы
Предмет: Русский язык,
автор: вававалооооо
Предмет: Русский язык,
автор: Timur110607
Предмет: Окружающий мир,
автор: flawia77
Предмет: Математика,
автор: markoffka23200710
Предмет: Математика,
автор: tatataaaaaaaaaaaaaaa