Предмет: Алгебра,
автор: voovolvaeyeyzzy
помогите пожалуйста!!
Приложения:
Ответы
Автор ответа:
1
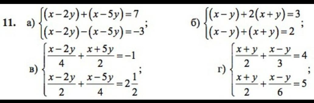
Ответ:
а) x=0; y= -1
б)x=1; y=
в)x = 44/51; y= -14/17
г)x= 3; y= 9
voovolvaeyeyzzy:
а решение?
Похожие вопросы
Предмет: Русский язык,
автор: Malika212
Предмет: Русский язык,
автор: karinamanuchar
Предмет: Технология,
автор: Defaly
Предмет: Русский язык,
автор: alexandra824135
Предмет: Математика,
автор: Nyashkanya1111