Предмет: Алгебра, автор: AlexeyBBH

Решите пожалуйста желательно подробно.

Приложения:

Ответы

Автор ответа: MizoriesKun
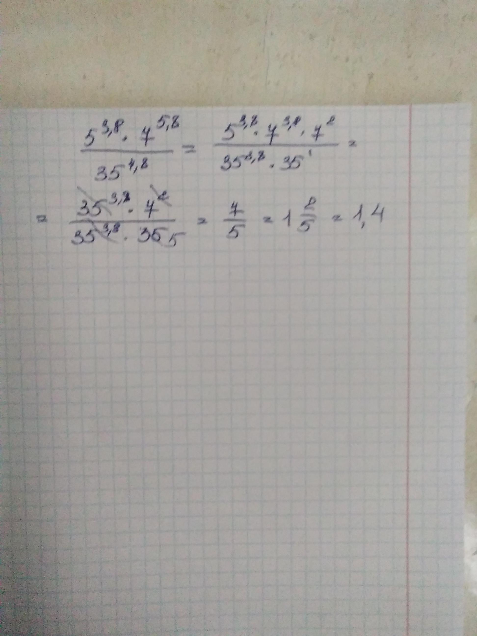
1

Смотри . . . .. . .. ... ... .. . .. . . . . .

Приложения:
Автор ответа: Аноним
1

\displaystyle \frac{5^{3,8}*7^{5,8}  }{35^{4,8} }=\frac{5^{\frac{19}{5} }*7^{\frac{29}{5} }  }{35^{\frac{24}{5} } }=\frac{\sqrt[5]{5^1^9}\sqrt[5]{7^2^9}  }{\sqrt[5]{35^2^4} }=\frac{\sqrt[5]{5^1^9*7^2^9} }{\sqrt[5]{35^2^4} }=\frac{5^3*7^5*\sqrt[5]{5^4*7^4} }{\sqrt[5]{35^2^4} }=\\\\\frac{5^3*7^5*\sqrt[5]{35^4} }{\sqrt[5]{35^2^4} }=\frac{5^3*7^5}{\sqrt[5]{35^2^0} }=\frac{5^3*7^5}{35^4}=\frac{5^3*7^5}{7^4*5^4}=\frac{7}{5}=1\frac{2}{5}=1,4

Похожие вопросы
Предмет: Английский язык, автор: DaryaKhorolskaya21
Предмет: Математика, автор: 008vlada