Предмет: Физика,
автор: valerablua228
Помогите Срочно Физика 9 класс
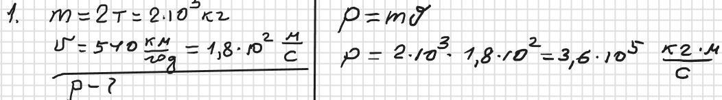
1. Який імпульс літального апарату масою 2 т, швидкість якого становить 540 км/год.
2. На горизонтальній підлозі рухаються два возики масами 100 та 40 кг.
Важчий возик має швидкість 4 м/с, його наздоганяє інший на швидкості 5 м/с.
Яка буде їх швидкість після автозчеплення?
Яка буде їх швидкість, при умові руху назустріч один до одного?
Виконайте повне розв'язання з малюнком, векторним рівнянням ....
Ответы
Автор ответа:
1
Відповідь: 1. 360000 (кг·м)/с 2. а) 4,29 м/с; б) 1,43 м/с
Пояснення:
Приложения:
Похожие вопросы
Предмет: Английский язык,
автор: Аноним
Предмет: Другие предметы,
автор: almuwa1
Предмет: Русский язык,
автор: ПолинаЛис752
Предмет: Математика,
автор: axmedpro222
Предмет: Алгебра,
автор: svetlanaartemova226