Предмет: Математика, автор: ТвойНочнойКошмар

Помогите сделать интеграл, пожалуйста! 100 баллов даю. Глупые ответы не давать, блокирую за нарушение правил сразу!

Приложения:

Ответы

Автор ответа: ismars
1

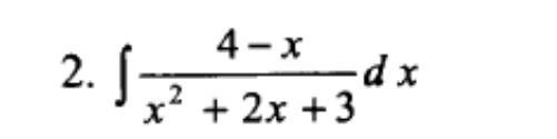
В решении производится замена переменной x на t и u. Всё сводится к табличным интегралам для логарифма и арктангенса.

t=x^2+2x+3\\dt=(2x+2)dx\\\\u=\frac{x+1}{\sqrt{2} } \\du=\frac{1}{\sqrt 2}dx\\dx=\sqrt 2 du\\\frac{1}{x^2+2x+3}dx= \frac{1}{(x+1)^2+2}dx=\frac{1}{(\sqrt{2}u )^2+2} \sqrt{2}du =\frac{1}{\sqrt 2} \frac{1}{u^2+1} }du \\\\\\\frac{4-x}{x^2+2x+3}= =-\frac{x-4}{x^2+2x+3}=-\frac{\frac{1}{2}(2x+2)-5 }{x^2+2x+3}=-(\frac{2x+2}{2(x^2+2x+3)}-\frac{5}{x^2+2x+3})\\

После всех этих преобразований можем приступить к расчётам.

\int {\frac{4-x}{x^2+2x+3}} \, dx =\int {-(\frac{2x+2}{2(x^2+2x+3)}-\frac{5}{x^2+2x+3})} \, dx=-\int {\frac{2x+2}{2(x^2+2x+3)}} \, dx+\int {\frac{5}{x^2+2x+3}} \, dx=\\\\=-\frac{1}{2} \int {\frac{1}{t}} \, dt+\frac{5}{\sqrt 2} \int {\frac{1}{u^2+1}} \, du=\frac{5}{\sqrt 2}arctg(u)-\frac{1}{2} \ln t+C=\\\\\\=\frac{5}{\sqrt 2}arctg(\frac{x+1}{\sqrt 2} )-\frac{1}{2} \ln (x^2+2x+3)+C


ТвойНочнойКошмар: Ого… спасибо огромное
krateroleg56: корону ему дай
krateroleg56: а, молодец
krateroleg56: я бы задолбался писать все в редакторе формул
Похожие вопросы
Предмет: Математика, автор: Gleb1207