Предмет: Алгебра,
автор: elenakaygorodova4550
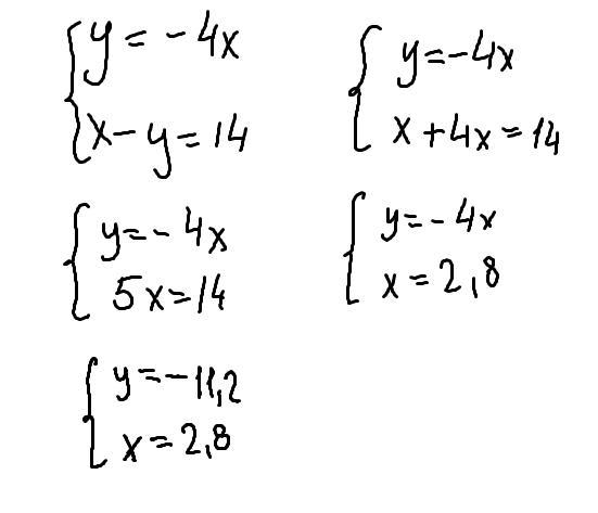
Реши систему уравнений методом подстановки:
y= -4x
x-y=14
abcdefghijklmnopw:
На листочке подойдет?
да
Ответы
Автор ответа:
0
.....................................
Приложения:
Автор ответа:
0
Ответ:
х=2,8, у=-11,2
Объяснение:
1) выражаем одну переменную через другую (в первом уравнении она уже выражена)
2) подставляем в другое уравнение полученное выражение вместо этой переменной
3( решаем полученное уравнение
3) находим соответствующее значение второй переменной
Приложения:
Похожие вопросы
Предмет: Окружающий мир,
автор: Марлен111111
Предмет: Русский язык,
автор: artem1kl
Предмет: Русский язык,
автор: starceva04
Предмет: Русский язык,
автор: EgorTorchik
Предмет: Русский язык,
автор: serega9055