Предмет: Алгебра, автор: dashanovosylova37

Скільки цілих коренів має рівняння – (x²-4x)²-2x²+8x-15=0​

Ответы

Автор ответа: Аноним
0

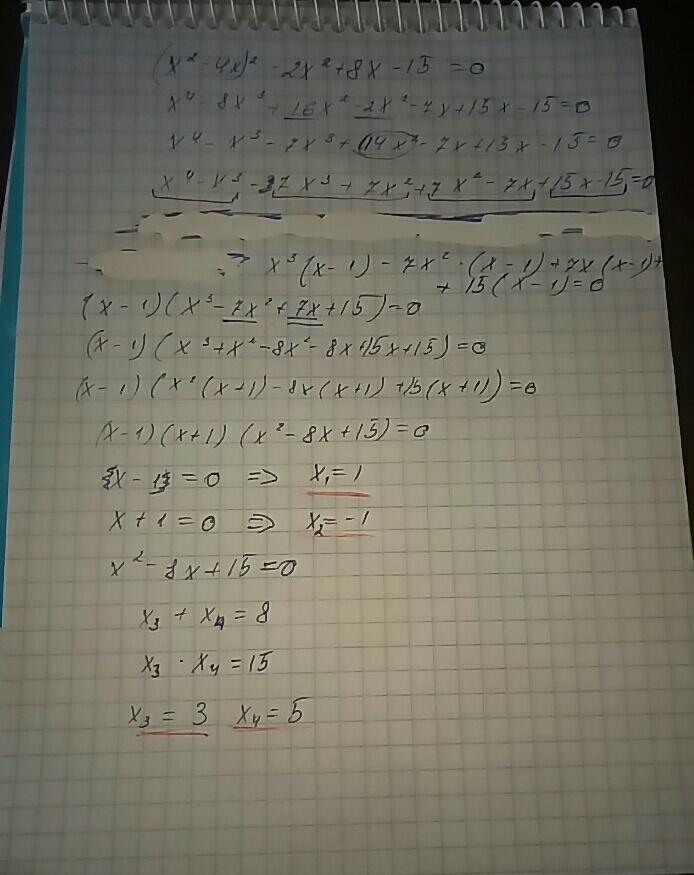
\displaystyle (x^2-4x)^2-2x^2+8x-15=0\\x^4-8x^3+16x^2-2x^2-7x+15x-15=0\\x^4-x^3-7x^3+14x^2-7x+15x-15=0\\x^4-x^3-7x^3+7x^2+7x^2-7x+15x-15=0\\x^3(x-1)-7x^2(x-1)+7x(x-1)+15(x-1)=0\\(x-1)(x^3-7x^2+7x+15)=0\\(x-1)(x^3+x^2-8x^2-8x+15x+15)=0\\(x-1)(x^2(x+1)-8x(x+1)+15(x+1))=0\\(x-1)(x+1)(x^2-8x+15)=0\\(x-1)(x+1)(x^2-3x-5x+15)=0\\(x-1)(x+1)(x(x-3)-5(x-3))=0\\(x-1)(x+1)(x-3)(x-5)=0\\x-1=0,x+1=0,x-3=0,x-5=0\\x_1=-1,x_2=1,x_3=3,x_4=5


6yTep6pog: пожалуйста Помогите по Алгебре
tvoy2malay: в чем помочь?
6yTep6pog: загляните пжл на мой вопрос
Автор ответа: tvoy2malay
0

Ответ:4 корня

Объяснение:

Приложения:
Похожие вопросы