Предмет: Математика, автор: anastasia30091988

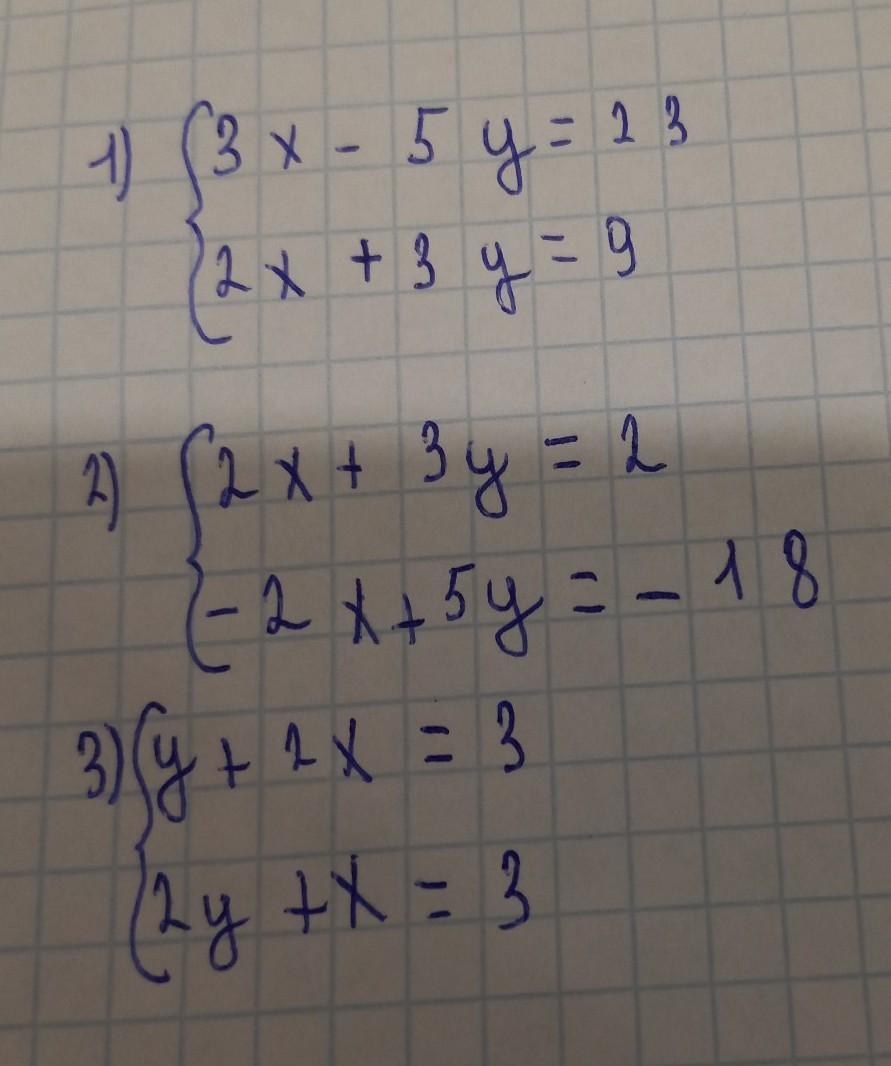
Пожалуйста можете решить два примера с сложением и один с постановкой.Можете пожалуйста сейчас на листочке написать ​

Приложения:

Ответы

Автор ответа: kotpilot19
0

Ответ:

если не сложно,сделай лучшим ответом)

Приложения:

anastasia30091988: пж 1 можешь решить
kotpilot19: смотри,изменила ответ
kotpilot19: сделай лучшим ответом
kotpilot19: пожалуйста
Автор ответа: annalozkova453
0

Пошаговое объяснение:

вроде так...............

Приложения:
Похожие вопросы
Предмет: Русский язык, автор: сергей866
Предмет: Русский язык, автор: PolinaAmbrey
Предмет: Русский язык, автор: макслегкий
Предмет: Математика, автор: ritamoon1