Предмет: Физика,
автор: korzikd22
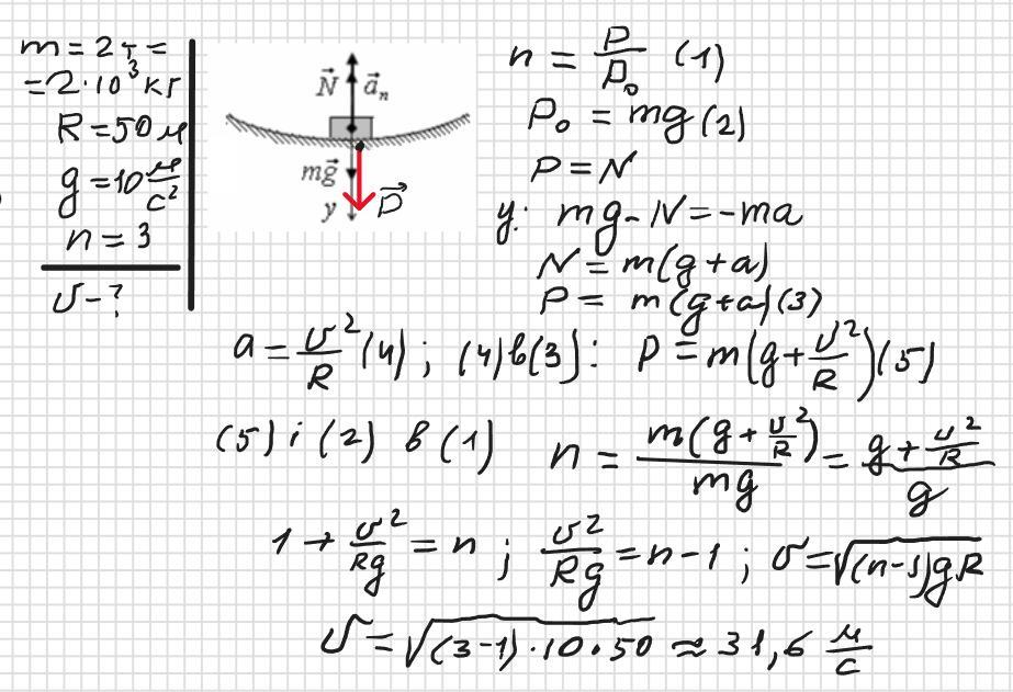
Автомобіль 2т рухається по увігнутому мосту радіусом 50м.З якою швидкістю можна їхати ,щоб перевантаження не перевищувало 3-х?
Ответы
Автор ответа:
1
Відповідь: ≤ 31,6 м/с
Пояснення:
Приложения:
Похожие вопросы
Предмет: Русский язык,
автор: рита357
Предмет: Русский язык,
автор: ZaikaSahik
Предмет: Английский язык,
автор: Rima2004Kim
Предмет: Русский язык,
автор: Nik07002015
Предмет: Қазақ тiлi,
автор: annanet34