Предмет: Математика,
автор: katagikavcuk22
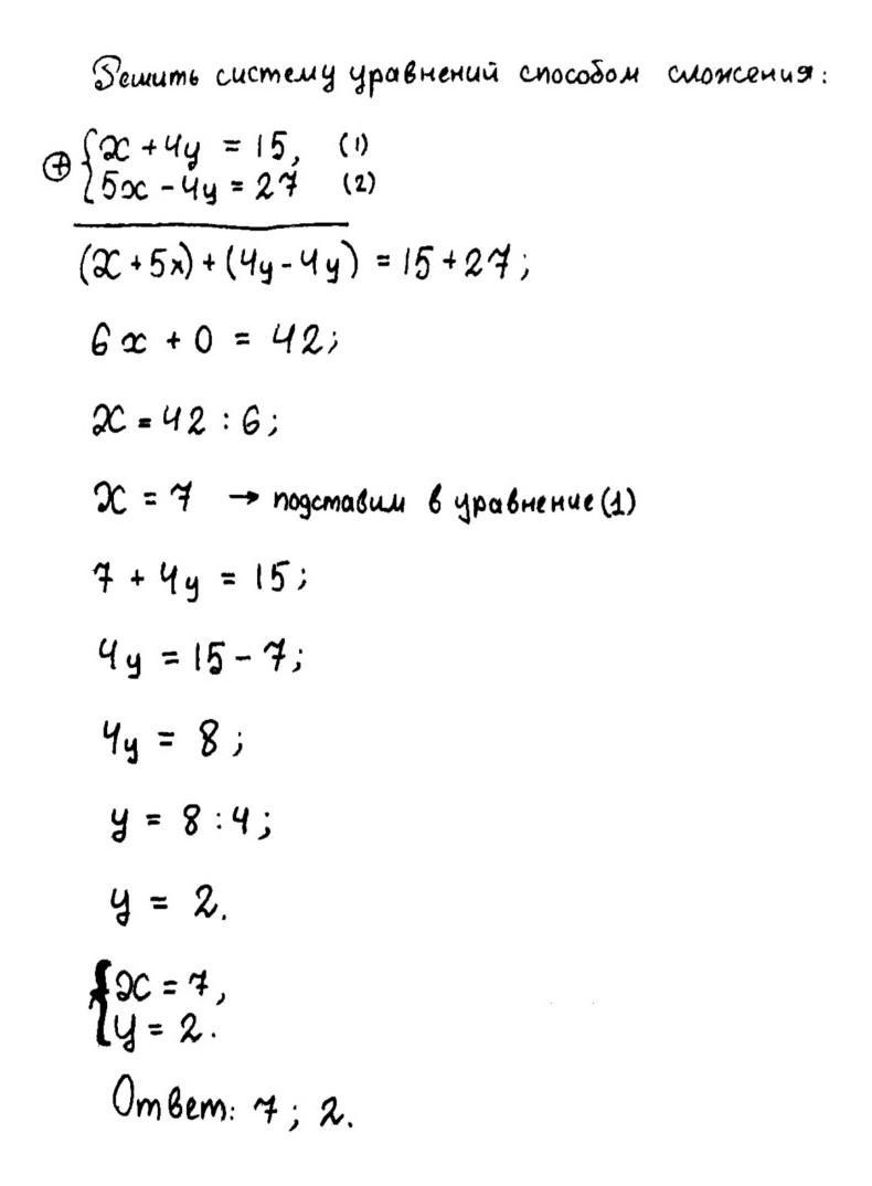
Розв'язати систему рівнянь способом додавання
x+4y=15
5x-4y=27
Ответы
Автор ответа:
5
Решение/ответ:
Смотреть в прикреплённой фотографии.
__________
Удачи Вам! :)
Приложения:
Похожие вопросы
Предмет: Русский язык,
автор: Milisha
Предмет: Русский язык,
автор: любовь180
Предмет: Русский язык,
автор: НастяЯ2006
Предмет: Геометрия,
автор: grid2017
Предмет: Литература,
автор: miss45original