Предмет: Алгебра,
автор: Anyaa28
ПОМОГИТЕ ПОЖАЛУЙСТА!! СРОЧНО
Приложения:
Ответы
Автор ответа:
1
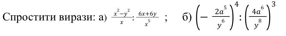
Ответ:
1.((x+y)(x-y)/x)*(x^5/6(x+y))=(x-y) *x^4=x^5-x^4y
2.(-16a^9/y^10)*y^11/64a^9=y/4
Похожие вопросы
Предмет: Русский язык,
автор: cabanova40
Предмет: Русский язык,
автор: Нелёна2006
Предмет: Русский язык,
автор: яКатя128890
Предмет: Биология,
автор: gashish95
Предмет: Математика,
автор: dilbar06