Предмет: Алгебра,
автор: annanikituk4
помогите пожалуйста очень срочно
Приложения:
Ответы
Автор ответа:
1
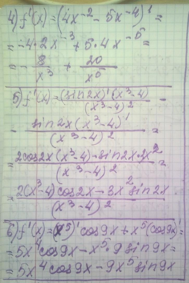
Ответ:
решение смотри на фотографии
Приложения:
Похожие вопросы
Предмет: Русский язык,
автор: vika140884mailru
Предмет: Окружающий мир,
автор: lexmaksimus
Предмет: Русский язык,
автор: azik43311
Предмет: Українська мова,
автор: tomir201384
Предмет: История,
автор: араксья