Предмет: Математика,
автор: imnecto
-помогите плис)))Мне первое надо!°^°
второе я сделала ^^,но,мне надо все на листочке!♡
____________________________________________________
-вот за это и будет 50 баллов))
Приложения:
alinabolshova71:
метод подстановки подойдёт?
Ответы
Автор ответа:
1
Ответ:
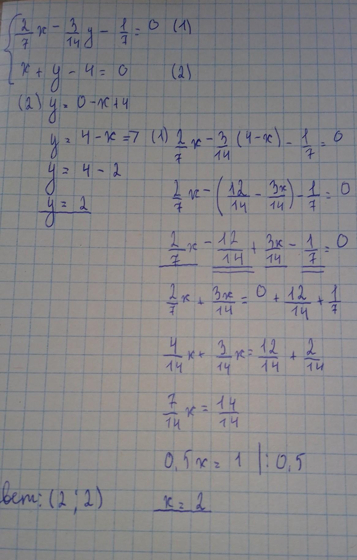
(2;2),вроде должно быть правильно
Приложения:
ОООООО СПАСИБОЧКИ!♡♡♡♡♡♡♡♡♡♡♡♡
Автор ответа:
1
Ответ:
2;2
Пошаговое объяснение:
не факт, что у вас такое же оформление
Приложения:
Похожие вопросы
Предмет: Английский язык,
автор: kiwi6446
Предмет: Русский язык,
автор: nikismirnov
Предмет: Русский язык,
автор: aishaergasheva
Предмет: Русский язык,
автор: z9586220191jk
Предмет: Английский язык,
автор: Zuhra060804