Предмет: Алгебра,
автор: daniakucher292
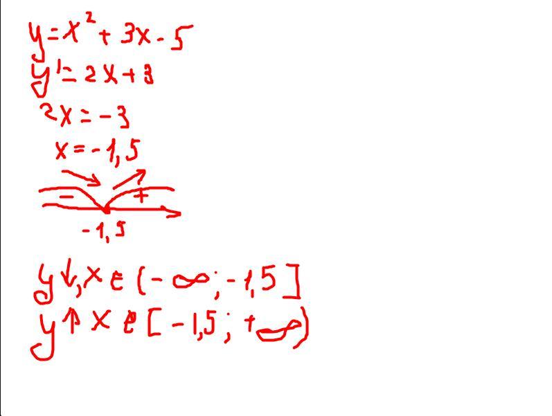
Запишіть проміжки зростання і
спадання функції
Приложения:
Ответы
Автор ответа:
1
Решение на скриншоте
Приложения:
daniakucher292:
Дякую :)
Похожие вопросы
Предмет: Русский язык,
автор: Polinka576489
Предмет: Английский язык,
автор: Ylicats
Предмет: Русский язык,
автор: мамаЖенечка
Предмет: Английский язык,
автор: albina8933