Предмет: Физика,
автор: pomogite240
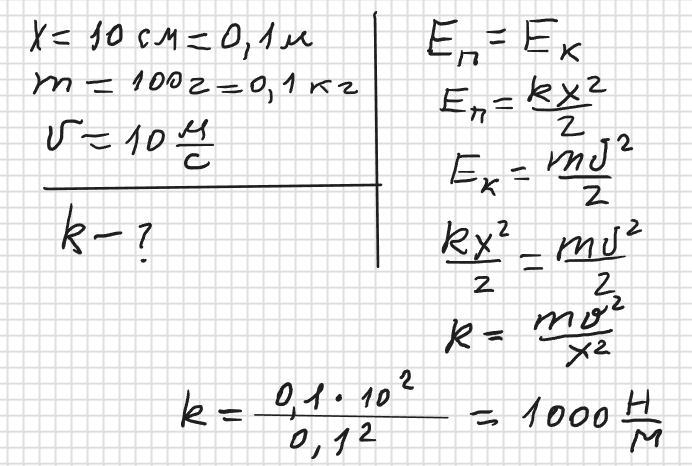
Пружину стиснули на 10 см і притиснули до неї кульку масою 100 г. Після розпрямлення пружини кулька набула швидкість 10 м/с. Чому дорівнює жорсткість пружини?
Ответы
Автор ответа:
2
Відповідь: 1000 Н/м
Пояснення:
Приложения:
dimaistinuk:
Добрый день zybkov1950, помогите пожалуйста
Задание у меня в профиле
Очень нужно
Буду Вам очень благодарен
Очень Вас прошу
Похожие вопросы
Предмет: Другие предметы,
автор: madina198
Предмет: Русский язык,
автор: Laura2005laura
Предмет: Русский язык,
автор: dilnazmakhatova
Предмет: Физика,
автор: Аноним
Предмет: Английский язык,
автор: nikitakulik12i