Предмет: Математика,
автор: emcmniznzaoqvdvjam
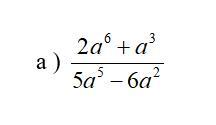
Помогите сократить дробь
Приложения:
Ответы
Автор ответа:
0
Ответ:
а)2а⁶+а³ = а⁴+а²= а³
----------- -------- ----
5а⁵-6а² 5а⁴-3а 5а²-3
Автор ответа:
1
2а4+а
5а3-6. Сокращено
5а3-6. Сокращено
Приложения:
Похожие вопросы
Предмет: Русский язык,
автор: 267530
Предмет: Қазақ тiлi,
автор: gjvjubntcehjrfv
Предмет: Окружающий мир,
автор: Аноним
Предмет: Биология,
автор: kuigh
Предмет: Литература,
автор: трпрверер