Предмет: Алгебра,
автор: vadimmihalskij58
Срочно решите пожалуйста!
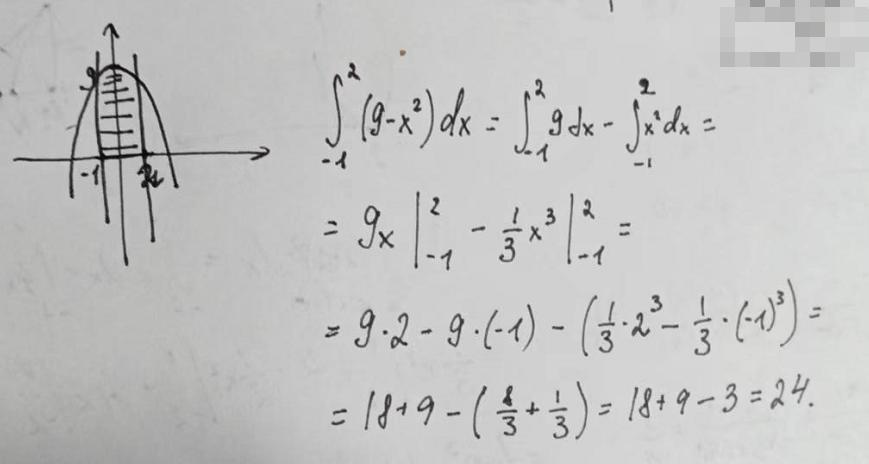
Вычислить площадь фигуры ограниченной линиями

Нужен сам рис. и также решение интеграла!!! Помогите пожалуйста
Приложения:
Ответы
Автор ответа:
0
График на первой, решение на второй
Приложения:
vadimmihalskij58:
спасибо большое
Похожие вопросы
Предмет: Русский язык,
автор: gavel99
Предмет: Русский язык,
автор: Аноним
Предмет: Другие предметы,
автор: ljgjvjuf
Предмет: Русский язык,
автор: Svetoshad
Предмет: Математика,
автор: Amirkys