Предмет: Информатика,
автор: allalsl
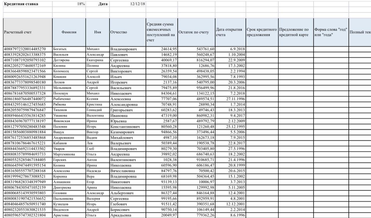
Задание 2
На листе Клиенты файла FinFunctions.xlsx подготовьте текст SMS-
предложения банка по кредитованию для каждого из клиентов.
Срок кредитования банк определяет по правилу: если клиент пользуется
банком не менее десяти полных лет, то предлагается кредит на два года,
если менее, то на один год.
При вычислении суммы предлагаемого кредита банк исходит из того,
что клиент будет платить 25% от средней суммы поступлений на его счёт
за месяц.
Округлите предлагаемую банком сумму кредита к ближайшему кратному
5000 числу.
Примерный текст сообщения:
«Иван Иванович, Вам одобрен кредит на 155 000 руб. сроком на 2 года».
1. Откройте находящийся в вашей папке файл FinFunctions.xlsx. Перейдите
на лист Клиенты.
2. Ориентируясь на любой из банков, в ячейку В1 занесите актуальную на
данный момент ставку потребительского кредита.
3. Проверьте, что в ячейке стоит текущая дата формирования сообщений.
4. Создайте формулу для заполнения Срока кредитного предложения для
каждого клиента.
5. Используя функцию ПС, рассчитайте размер предлагаемого кредита. Функ-
ция Пс(ставка; кпер; плт; [бс]; [mun]) возвращает приведённую (к теку-
щему моменту) стоимость инвестиции, представляющую собой общую сум-
му, которая на данный момент равноценна ряду будущих выплат.
6. Сформируйте текстовое сообщение. Учтите, что слово «год» может быть в
вух вариантах («год» и «года»).
7. Сохраните результат работы в файле FinFunctions.xlsx.
Приложения:
Ответы
Автор ответа:
0
.........................
Похожие вопросы
Предмет: Русский язык,
автор: brkatka
Предмет: Английский язык,
автор: Аноним
Предмет: Другие предметы,
автор: ууке1
Предмет: Математика,
автор: Аноним