Предмет: Алгебра,
автор: Reideen
Задание приложено...
Приложения:
SM4Higgs:
курсы повышения квалификации или что?...
Ответы
Автор ответа:
1
Ответ:
Теоремы: (при условии, что - сходящиеся последовательности)
Предел суммы:
Предел произведения:
Предел частного:
при условии, что
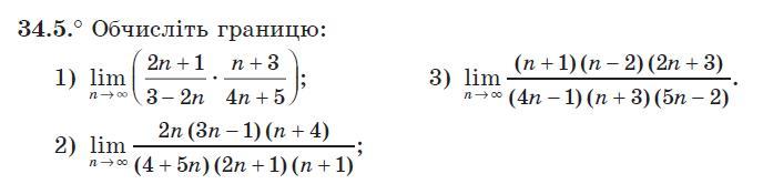
34.5
1) 
2)
а)
б)
3) 
а)
б)
в)
Похожие вопросы
Предмет: Русский язык,
автор: мадина1233211
Предмет: Технология,
автор: DANIL3124
Предмет: Русский язык,
автор: olgafd
Предмет: Математика,
автор: Ramilek001
Предмет: Литература,
автор: Timur122ft