Предмет: Математика,
автор: artemtokorev0

помогите пж зделаю всё
artemtokorev0:
спасибо большое
Ответы
Автор ответа:
2
Ответ:
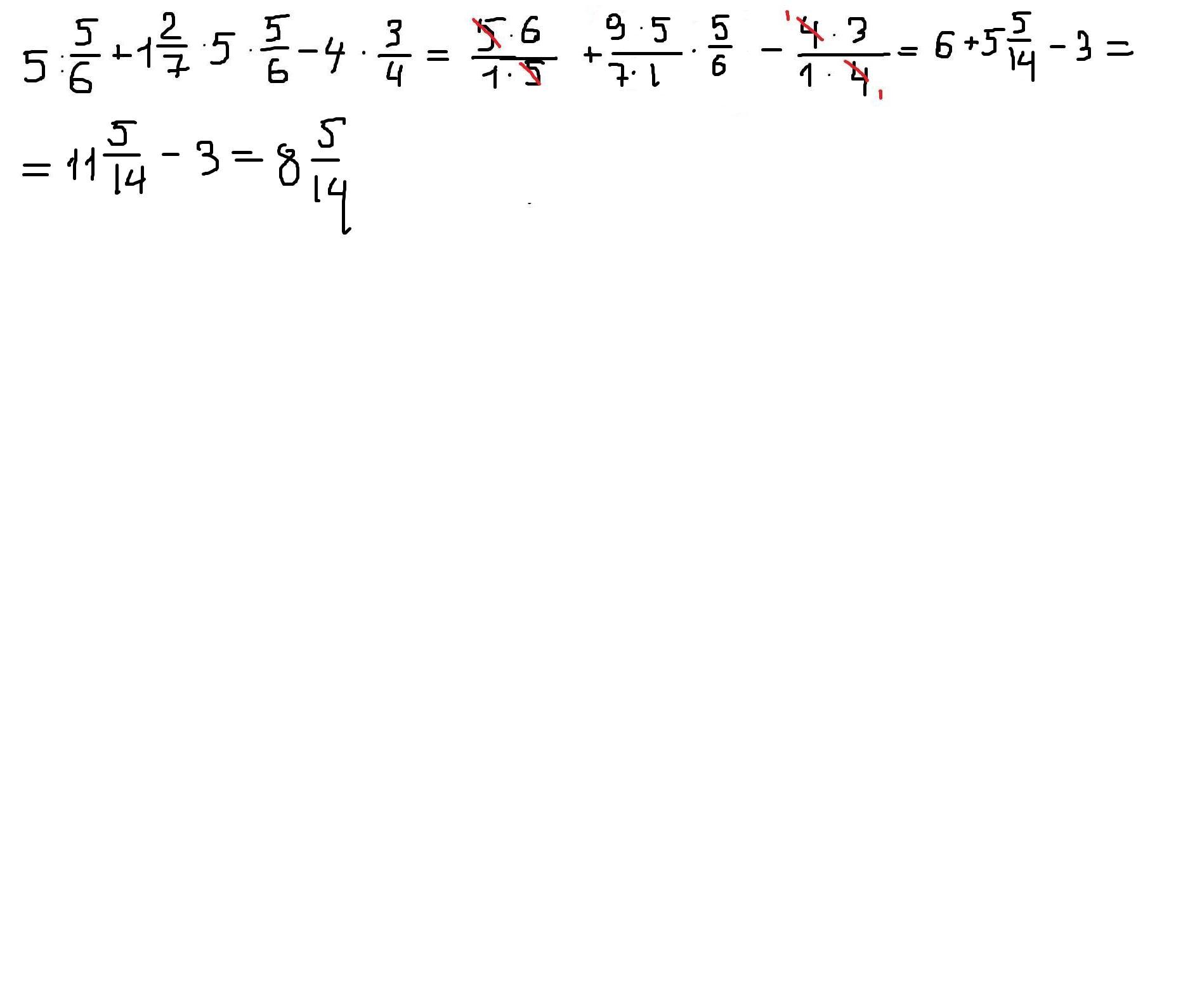
Пошаговое объяснение: на фото
Приложения:
где?
теперь
правильно
теперь?
Автор ответа:
0
Ответ:
8 5/14.
Объяснение:
5÷5/6+1 2/7×5×5/6-4×3/4=5×6/5+9/7×5×5/6-3=6+3/7×5×5/2-3=6+75/14-3=3+75/14=8 5/14
а кто поставил 1⭐?
ну ты и даёшь
???
а на что должно влиять?
Похожие вопросы
Предмет: Українська мова,
автор: вікі2004
Предмет: Английский язык,
автор: Таллрмвопи
Предмет: Технология,
автор: Bexram
Предмет: Русский язык,
автор: vlad2311228